Guillermo Barrios
Artículos
Estudiantes
Studs graduades
Studs en proceso
Cursos
Repositorios
CV
En esta página
Licenciatura
Maestría
Estudiantes
Licenciatura
Estado del arte de energía en edificaciones
revisión
Jorge Miguel Casas Arredondo
1 dic 2010
Estudio numérico de la transferencia de calor en edificaciones para potencializar el ahorro energético en México
EnergyPlus
Ariadna Ocampo Astudillo
4 ene 2015
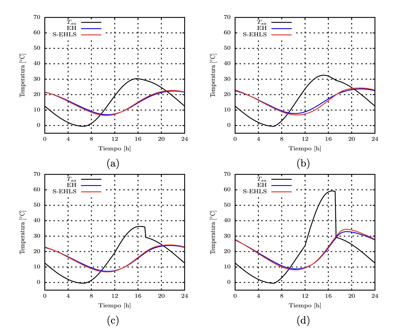
Validación de la simplificación del método EHLS para la transferencia de calor a través de la envolvente de una edificación
EnergyPlus
EHLS
José María Aguilar Mier
6 ene 2018
Simulación y dimensionamiento de un sistema de enfriamiento radiativo para un espacio en un clima cálido sub-húmedo
EnergyPlus
Eros Vladimir Rosete Sánchez
5 ene 2019
Simulación con Radiance de estrategias de iluminación natural para un espacio del IER
Radiance
Lucero Clarisa Betancourt García
5 dic 2020
Methodology to simulate a complex building using EnergyPlus: detailed case study for building 3.1
EnergyPlus
Paloma Xchel Vázquez Dávila
4 mar 2021
High Dynamic Range photography for daylighting measurements with open technologies
Dispositivos
Mariana López Magaña
10 jun 2021
Meteorological data imputation and its impact on EnergyPlus simulations
datascience
EnergyPlus
Alejandro Ismael Guadarrama Zendejas
9 feb 2022
Análisis de la iluminación natural en aulas escolares y eficiencia energética, caso de estudio: Escuela de Arquitectura U.L.
Radiance
Ana Patricia Escobedo González
9 oct 2026
Evaporative cooling in the Instituto de Energías Renovables
EnergyPlus
Jessica Nevárez Barrera
9 oct 2026
Desarrollo e implementación con tecnologías libres de un dispositivo portatil para evaluar el confort térmico, lumínico y acústico en interiores
Dispositivos
Confort térmico
José Ramón Hernández Aguilar
9 jun 2027
No hay resultados
Maestría
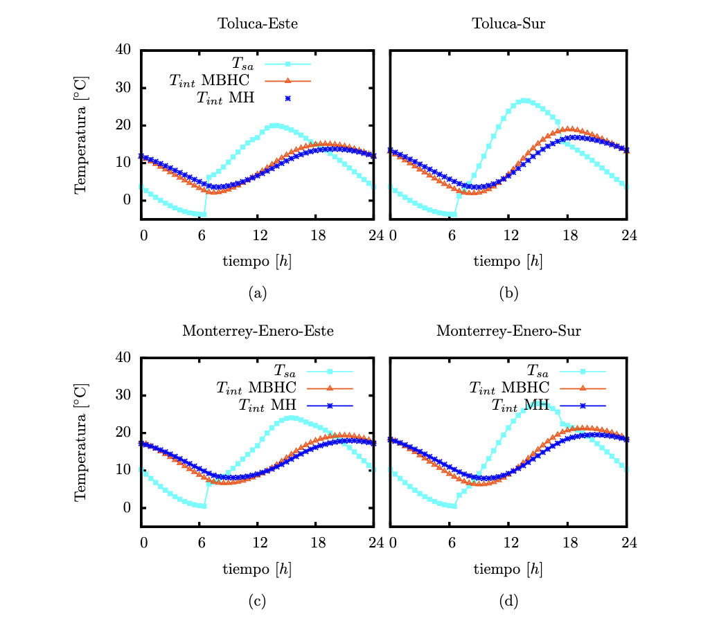
Estudio numérico de la transferencia de calor en muros de bloques huecos de concreto
EHLS
TRANSFERENCIA DE CALOR
Lucero Ángeles de la Cruz
1 mar 2016
Simulación de la iluminación natural y el desempeño térmico de un espacio con un tubo solar
RADIANCE
ILUMINACIÓN NATURAL
Verushka Gómez Dickinson
1 ene 2017
Evaluation of the NZEB definitions in a new building at IER-UNAM
NZEB
ENERGYPLUS
José Ignacio Maciel Hernández
1 may 2024
Reloj inteligente IoT basado en tecnologías abiertas para la recopilación de datos de confort térmico
Dispositivos
Julio López Landa
1 abr 2025
No hay resultados